科研动态

当前位置:首页 - 科研工作 - 科研动态 -  正文

公司硕士生王大兴在国际期刊《Fuel》发表学术论文

编辑:​太阳成集团tyc122cc         日期:2024-09-18       点击数:

通讯员 王大兴)公司硕士生王大兴在国际著名学术期刊Fuel发表题为“Difference between of coal and shale pore structural characters based on gas adsorption experiment and multifractal analysis”的学术论文近年来,我国深层海相页岩气和煤岩气勘探和开发取得重大进展。四川盆地深层海相页岩气产量大幅增加,为我国年产200亿方页岩气提供了强有力的支撑深层煤岩气在鄂尔多斯盆地日产可以达到6-8万方,是近年来煤岩气勘探和开发的重大进展。

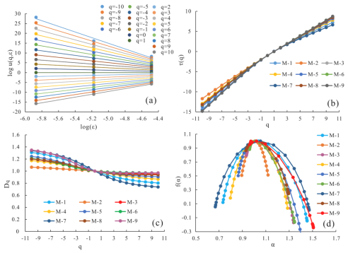
本次研究以我国深层龙马溪组页岩和深层太原组煤岩为研究对象,这类储层主要发育纳米级孔隙,孔隙直径小,迂曲度高,结构复杂,孔隙连通性和润湿性难以表征。本次研究引入多重分形理论表征页岩和煤岩孔隙的连通性、润湿性和非均质性,取得良好效果,为深层页岩和煤岩孔隙表征提供了良好的方法和思路

 

 

论文中的图件

 

Fuel》是英国主办,专注于燃料科学、技术和应用的国际学术期刊,涵盖燃料的生产、加工、性质、燃烧、排放控制以及新型燃料开发等多个方面。该期刊不仅关注传统化石燃料的研究,还积极推广可再生能源和清洁能源的研究进展。根据中科院期刊分级,《Fuel》目前为工程技术类SCI 分类1TOP期刊,影响因子6.7

2021级硕士生王大兴为论文第一作者,其导师胡海燕教授为通讯作者。除了该篇论文外,王大兴还以第一作者分别在《地质科技通报》和《油气地质与采收率》两本中文核心期刊上发表2油气地质方面的学术论文。王大兴本科就读于浙江海洋大学,2021年考入​太阳成集团tyc122cc攻读硕士学位,今年硕士毕业后将前往中国地质大学(武汉)攻读博士学位。

论文链接:https://www.sciencedirect.com/science/article/abs/pii/S001623612401192X(审核人 胡海燕)